Задание 5.218 - ГДЗ Математика 5 класс. Виленкин, Жохов. Учебник часть 2. Страница 38

Старая и новая редакции

Вернуться к содержанию учебника

5.215 5.216 5.217 5.218 5.219 5.220 5.221

Вопрос

№5.218 учебника 2021-2022 (стр. 38):

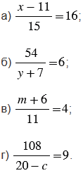
Найдите корень уравнения:

Подсказка

№5.218 учебника 2021-2022 (стр. 38):

Вспомните:

  1. Что называют уравнением (неизвестные делимое и делитель).
  2. Что называют частным (деление чисел).
  3. Деление и дроби.
  4. Умножение чисел.
  5. Сложение чисел.
  6. Вычитание чисел.

Ответ

№5.218 учебника 2021-2022 (стр. 38):


Вернуться к содержанию учебника