Вернуться к содержанию учебника
Выберите год учебника
№2.288 учебника 2023-2024 (стр. 83):
Вычислите:
| а) 0,9 • 0,9 - 0,6 : 7 + 0,03 ? | б) 5,6 : 8 • 3 + 5,6 : 0,11 ? |
| в) 0,72 : 3,6 + 3,3 : 5 • 0,7 ? | г) + 2,25 : 0,5 ? |
| д) + 1,75 • 0,5 ? |
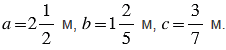
№2.288 учебника 2021-2022 (стр. 78):
Используя формулу объема прямоугольного параллелепипеда
, найдите значение
при 
№2.288 учебника 2023-2024 (стр. 83):
Вспомните:
№2.288 учебника 2021-2022 (стр. 78):
Вспомните:
№2.288 учебника 2023-2024 (стр. 83):
| а) 0,9 • 0,9 = 0,81 0,81 - 0,6 = 0,21 0,21 : 7 = 0,03 0,03 + 0,03 = 0,06 | б) 5,6 : 8 = 0,7 0,7 • 3 = 2,1 2,1 + 5,6 = 7,7 7,7 : 0,11 = 70 | ||||||||||||||||||||||||||||||||||||||||||||||||||||||||||||
| в) 0,72 : 3,6 = 0,2 0,2 + 3,3 = 3,5 3,5 : 5 = 0,7 0,7 • 0,7 = 0,49 | |||||||||||||||||||||||||||||||||||||||||||||||||||||||||||||
| г) 4,5 + 2,25 = 6,75 6,75 : 0,5 = 13,5
| |||||||||||||||||||||||||||||||||||||||||||||||||||||||||||||
| д) 0,75 + 1,75 = 2,5 2,5 • 0,5 = 12,5 | |||||||||||||||||||||||||||||||||||||||||||||||||||||||||||||
№2.288 учебника 2021-2022 (стр. 78):

Пояснения:
Чтобы найти значение
по формуле
, нужно в эту формулу вместо
,
и
подставить числа, им соответствующие, и выполнить вычисления.
Чтобы выполнить умножение смешанных чисел, нужно записать эти числа в виде неправильных дробей, а затем воспользоваться правилом умножения дробей, согласно которому произведением двух дробей является дробь, числитель которой равен произведению числителей, а знаменатель - произведению знаменателей.
Чтобы преобразовать смешанное число в неправильную дробь, надо целую часть числа умножить на знаменатель дробной части и к полученному произведению прибавить числитель дробной части; эту сумму записать как числитель неправильной дроби, а в ее знаменатель записать знаменатель дробной части смешанного числа.
Чтобы вычисления были проще, не надо перемножать сразу, лучше сделать это после сокращения.
Сократить дробь - значит, разделить ее числитель и знаменатель на одно и то же число (наибольший общий делитель).
Если при вычислениях получилась неправильная дробь, преобразуем ее в смешанное число. Чтобы неправильную дробь, числитель которой нацело не делится на знаменатель, преобразовать в смешанное число, надо числитель разделить на знаменатель; полученное неполное частное записать как целую часть смешанного числа, а остаток - как числитель его дробной части.
Вернуться к содержанию учебника