Вернуться к содержанию учебника
Упражнения для повторения курса алгебры 8 класса. Страница 221
881 882 883 884 885 886 887 888 889 890 891
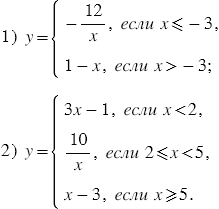
Постройте график функции:
Вспомните: