Задание 598 - ГДЗ Математика 6 класс. Виленкин, Жохов. Учебник часть 1

Старая и новая редакции

Вернуться к содержанию учебника

595 596 597 598 599 600 601

Вопрос

Выберите год учебника

№598 учебника 2018-2020 (стр. 108):

Положили сушить 150 кг вишни. После сушки их масса уменьшилась на 80%. Сколько килограммов вишни получилось после сушки?


№598 учебника 2011-2017 (стр. 98):

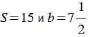
Найдите по формуле площади прямоугольника значение:

а) , если ;

б) , если .

Подсказка

№598 учебника 2018-2020 (стр. 108):

Вспомните:

  1. Проценты.
  2. Десятичные дроби.
  3. Деление десятичных дробей.
  4. Вычитание чисел.
  5. Умножение десятичных дробей.

№598 учебника 2011-2017 (стр. 98):

Вспомните:

  1. Формулы.
  2. Умножение смешанных чисел и обыкновенных дробей, взаимно обратные числа.
  3. Деление обыкновенных дробей.
  4. Как решают уравнения.
  5. Сокращение дробей.
  6. Неправильные дроби.
  7. Смешанные числа.
  8. Деление с остатком.

Ответ

№598 учебника 2018-2020 (стр. 108):


№598 учебника 2011-2017 (стр. 98):


Вернуться к содержанию учебника